Athena MIS Reporter

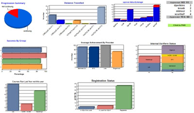
MIS Reporting DashboardCombines data from all sources

Athena’s report manager is different from other systems as not only does it generate its own data but joins this with data extracted from paper documents and other forms and data within the organization. Users can get a full and comprehensive analysis of the individual learner journey and be able to demonstrate the value that is being added.

Athena MIS Reporter can use Crystal Reports as a standard reporting tool

This new feature makes the MIS easier to use for all.

Better information aids business planning

Athena’s report manager delivers process improvements that increase both the quantity and quality of the business information available. By producing more and better user friendly data the business can be managed more efficiently for all.

New easy to use features

  • Reports can be added to the system as and when required
  • Large number of standard views that can be used with minimal training
  • Build your own customised reports
  • Real time displays

Contact us to find out more about Athena MIS Reporter.